Научный форум dxdy
Математика, Физика, Computer Science, Machine Learning, LaTeX, Механика и Техника, Химия,
Биология и Медицина, Экономика и Финансовая Математика, Гуманитарные науки
Список форумов
»
Форум dxdy.ru
»
Карантин
Неопред интегралы
Пред. тема
|
След. тема
lenanacheva
Неопред интегралы
26.10.2014, 20:21
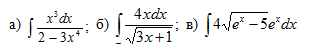
http://forumimage.ru/uploads/20141026/1 ... 358214.png
Deggial
Posted automatically
26.10.2014, 20:28
Последний раз редактировалось
Deggial
26.10.2014, 20:29, всего редактировалось 1 раз.
i
Тема перемещена из форума
«Помогите решить / разобраться (М)»
в форум
«Карантин»
Причина переноса: не приведены попытки решения, формулы не набраны
ом
lenanacheva
Приведите попытки решения, укажите конкретные затруднения.
Наберите
все
формулы и термы
ом.
Инструкции по оформлению формул
здесь
или
здесь
(или в
этом
видеоролике).
См. также тему
Что такое карантин, и что нужно делать, чтобы там оказаться
.
После исправлений сообщите в теме
Сообщение в карантине исправлено
, и тогда тема будет возвращена.
Страница
1
из
1
[ Сообщений: 2 ]
Список форумов
»
Форум dxdy.ru
»
Карантин