Научный форум dxdy
Математика, Физика, Computer Science, Machine Learning, LaTeX, Механика и Техника, Химия,
Биология и Медицина, Экономика и Финансовая Математика, Гуманитарные науки
Список форумов
»
Форум dxdy.ru
»
Карантин
Опознать уравнение
Пред. тема
|
След. тема
Naual
Опознать уравнение
16.01.2021, 18:13
Последний раз редактировалось Naual 16.01.2021, 18:13, всего редактировалось 1 раз.
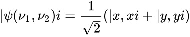
Привет. Я далек от мира высшей математики и физики, но мне очень нужно узнать - что это за уравнение. Большое спасибо!
warlock66613
Re: Опознать уравнение
16.01.2021, 18:27
Похоже на плохо распознанное или скорее плохо списанное. Для начала, вместо
по-видимому должно быть
.
Pphantom
Posted automatically
16.01.2021, 18:54
i
Тема перемещена из форума
«Свободный полёт»
в форум
«Карантин»
по следующим причинам:
- неправильно набраны формулы (краткие инструкции:
«Краткий FAQ по тегу [math]»
и видеоролик
Как записывать формулы
);
- отсутствуют собственные содержательные попытки решения задачи.
Исправьте все Ваши ошибки и сообщите об этом в теме
Сообщение в карантине исправлено
.
Настоятельно рекомендуется ознакомиться с темами
Что такое карантин и что нужно делать, чтобы там оказаться
и
Правила научного форума
.
Страница
1
из
1
[ Сообщений: 3 ]
Список форумов
»
Форум dxdy.ru
»
Карантин