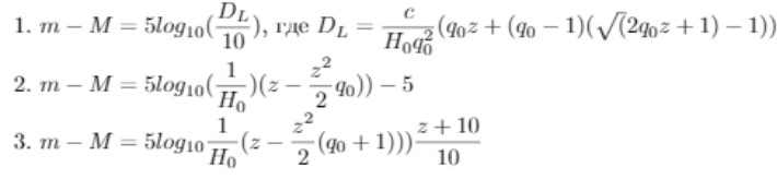
Добрый день! Какие я только не перебрал формулы, но так и не смог построить такую же зависимость, какая была в оригинальном исследовании High-Z Team, когда они определили значение параметра замедления q0.

Формулы, которые я строил, ниже:

Фото графиков: от первого к третьему сверху вниз

Прошу помочь мне выявить ошибки и подсказать, какую формулу нужно использовать.