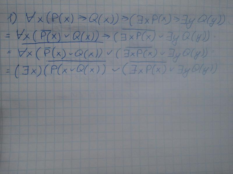
Здравствуйте, не могли бы пожалуйста подсказать как решается данный пример. Вот задание:
Привести данные формулы к предваренной нормальной форме и к
стандартной форме Сколема.

я вроде как ПНФ получил, проверьте пожалуйста

а как привести стандартную форму Сколема?